| 室内で想定されるあらゆるニオイをお洒落に消臭☆ |
![]()
|
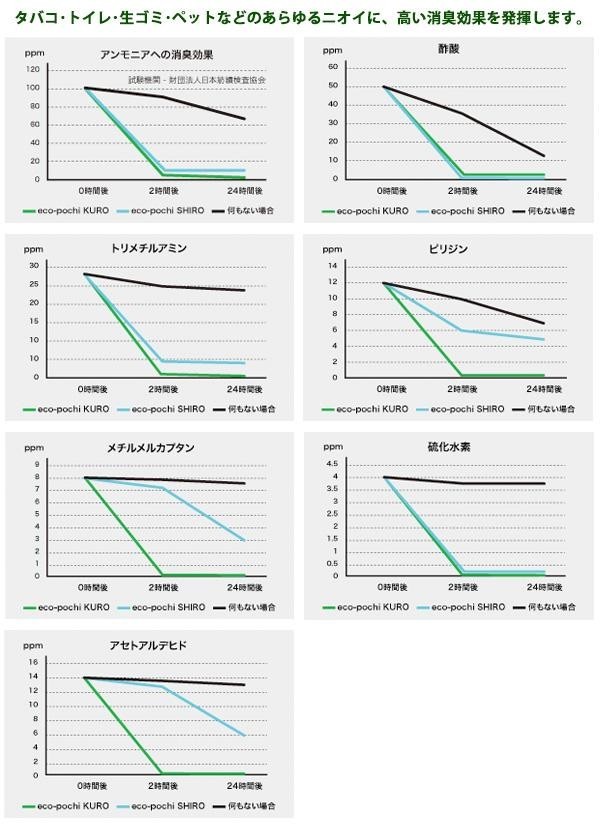
ニオイの元を吸着する竹炭(黒)・シラス(白)と、自然由来の「バチルス菌群」を使用したインテリアグリーン。タバコ・トイレ・生ごみ・ペットなどのあらゆるニオイを消臭します。お洒落なデザイン&シンプルなカラーリングだからリビング、寝室やオフィスなど、さまざまなシーンにマッチします♪ |
| ニオイの元を吸着する竹炭(黒)・シラス(白)と、自然由来の「バチルス菌群」を使用したインテリアグリーン。タバコ・トイレ・生ごみ・ペットなどのあらゆるニオイを消臭します。お洒落なデザイン&シンプルなカラーリングだからリビング、寝室やオフィスなど、さまざまなシーンにマッチします♪ |
| サイズ | エコ・ポチ本体(植物含まず):約150×50×50mm、受け皿:約80×190×13mm 個装サイズ:8×19×23cm |
| 重量 | 個装重量:700g |
| 素材・材質 | 【エコ・ポチ本体】 白:火山灰シラス 黒:竹炭 |
| 仕様 | エコ・ポチ種類:トゥーリオ 植物:観葉系 (植物の種類は指定できません) |
| 付属品 | 取扱説明書 |
| 製造国 | 日本 |
