Focal Length Range : 70 -300 mm, Minimum Focus Distance : 4.9 ft. ( 1.5 m)
Accepts 62mm filters, Count on genuine Nikon optics for outstanding picture quality. Compatible Format(s)-FX, DX, FX in DX Crop Mode,35mm Film
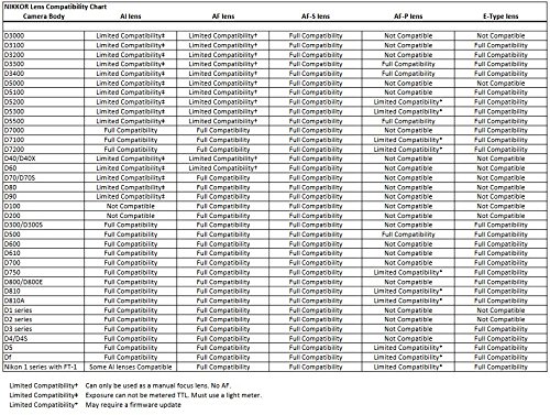
Autofocus is not supported by DSLRs lacking an autofocus motor, such as the D40, D40x, D60, D3000, D3100, D3200, D3300, D5000, D5100, D5200, D5300, and D5500 cameras, and the lens may be used with manual focus only